ARTIGO ORIGINAL
EFEITO DA REFLEXOLOGIA PODAL NA LACTAÇÃO: ESTUDO PILOTO DE UM ENSAIO CLÍNICO RANDOMIZADO
EFFECT OF FOOT REFLEXOLOGY ON LACTATION: PILOT STUDY OF A RANDOMIZED CLINICAL TRIAL
EFECTO DE LA REFLEXOLOGÍA PODAL EN LA LACTANCIA: ESTUDIO PILOTO DE UN ENSAYO CLÍNICO ALEATORIZADO
https://doi.org/10.31011/reaid-2025-v.99-n.4-art.2489
1Maria Bertilla Lutterbach Riker Branco
2Valdecyr Herdy Alves
3Diego Pereira Rodrigues
4Hugo Henrique Kegler dos Santos
5Karina Yuriko Yaginuma
6Audrey Vidal Pereira
7Bianca Dargam Gomes Vieira
8Andre Guayanaz Lauriano
[1]Enfermeira. Doutora em Ciências do Cuidado em Saúde. Universidade Federal do Fluminense, Niterói/RJ, Brasil. E-mail: bertillariker@yahoo.com.br. ORCID: https://orcid.org/0000-0002-5117-644XX.
2Enfermeiro. Doutor em Enfermagem. Professor Titular. Universidade Federal Fluminense, Niterói/RJ, Brasil. E-mail: herdyalves@yahoo.com.br. ORCID: https://orcid.org/0000-0001-8671-5063.
3Enfermeiro. Doutor em Ciências do Cuidado em Saúde. Professor Adjunto. Universidade Federal Fluminense, Niterói/RJ, Brasil. E-mail: diego.pereira.rodrigues@gmail.com. ORCID: https://orcid.org/0000-0001-8383-7663
4Bacharel em Matemática. Doutor em Estatística. Professor Adjunto. Universidade Federal Fluminense, Niterói/RJ, Brasil. E-mail: santos.hk@ufrgs.br. ORCID: https://orcid.org/0000-0003-0350-2594
5Estatística. Doutora em Estatística. Professora Adjunta. Universidade Federal Fluminense, Niterói/RJ, Brasil. E-mail: karinayuriko@id.uff.br. ORCID: https://orcid.org/0000-0001-5731-0841
6Enfermeiro. Doutor pela Escola Nacional de Saúde Pública, FioCruz. Professor Associado. Universidade Federal Fluminense, Niterói/RJ, Brasil. Email: avpereira@id.uff.br. ORCID: https://orcid.org/0000-0002-6570-9016
7Enfermeira. Doutora em Enfermagem. Professora Adjunta. Universidade Federal Fluminense, Niterói/RJ, Brasil. E-mail: dargam_bianca@id.uff.br. ORCID: https://orcid.org/0000-0002-0734-3685.
8Enfermeiro. Mestre em Enfermagem. Banco de leite Humano do Hospital Universitário Antonio Pedro, Universidade Federal Fluminense, Niterói/RJ, Brasil. E-mail: andreguayanaz@gmail.com. ORCID: https://orcid.org/0009-0007-3466-3434
Submissão: 07-02-2025
Aprovado: 22-09-2025
RESUMO
Objetivo: avaliar o efeito da reflexologia podal para estímulo de lactação em mulheres/mães com bebês internados em Unidade de Terapia Intensiva Neonatal de acordo com a mensuração da vazão do leite materno antes e depois da intervenção, e comparar a vazão do leite materno segundo os grupos de intervenção e controle. Método: estudo piloto de Ensaio Clínico Randomizado, utilizando-se um desenho de intervenções com medidas repetidas entre dois grupos: controle e intervenção. O cenário do estudo foram dois hospitais da rede pública e um hospital maternidade da rede privada da Região Metropolitana II do estado do Rio de Janeiro. Resultados: participaram 16 mulheres/mães com bebês internados em Unidade de Terapia Intensiva Neonatal, e não houve diferenças na vazão do leite materno nos dois grupos. Conclusão: não houve diferenças estatísticas significativas entre os dois grupos, porém a reflexologia podal para estímulo de lactação demonstrou dar indícios na melhora da vazão do leite materno.
Palavras-chave: Mulheres; Aleitamento Materno; Terapias Complementares; Recém-Nascido Prematuro.
ABSTRACT
Objective: to assess the effect of foot reflexology for lactation stimulation on women/mothers with babies admitted to a Neonatal Intensive Care Unit according to the measurement of breast milk flow before and after the intervention, and to compare breast milk flow according to the intervention and control groups. Method: a pilot study of a Randomized Clinical Trial, using an intervention design with repeated measures between two groups: control and intervention. The study setting was two public hospitals and one private maternity hospital in Metropolitan Region II of the state of Rio de Janeiro. Results: sixteen women/mothers with babies admitted to a Neonatal Intensive Care Unit took part, and there were no differences in breast milk flow in the two groups. Conclusion: there were no statistically significant differences between the two groups, but foot reflexology for lactation stimulation has been shown to improve breast milk flow.
Keywords: Women; Breast Feeding; Complementary Therapies; Infant, Premature.
RESUMEN
Objetivo: evaluar el efecto de la reflexología podal para la estimulación de la lactancia en mujeres/madres con bebés ingresados en la Unidad de Cuidados Intensivos Neonatales según la medición del flujo de leche materna antes y después de la intervención, y comparar el flujo de leche materna según los grupos de intervención y control. Método: estudio piloto de un Ensayo Clínico Aleatorizado, utilizando un diseño de intervención de medidas repetidas entre dos grupos: control e intervención. El escenario del estudio fueron dos hospitales públicos y una maternidad privada de la Región Metropolitana II del estado de Rio de Janeiro. Resultados: participaron 16 mujeres/madres con bebés ingresados en la Unidad de Cuidados Intensivos Neonatales y no hubo diferencias en el flujo de leche materna en los dos grupos. Conclusión: no hubo diferencias estadísticamente significativas entre los dos grupos, pero se demostró que la reflexología podal para estimulación de la lactancia mejora el flujo de leche materna.
Palabras clave: Mujeres; Lactancia Materna; Terapias Complementarias; Recién Nacido Prematuro.
INTRODUÇÃO
A baixa produção de leite humano é um fenômeno que ocorre em muitas mulheres/mães de prematuros no período de pós-parto(1). O leite humano é considerado alimento padrão-ouro principalmente para os prematuros, que dependem de reforço imunológico para superação dos transtornos da prematuridade(2). Estima-se que, a cada ano, 340 mil bebês brasileiros prematuros ou de baixo peso nasçam no país, o que corresponde a 12% do total de nascidos vivos(3).
Apesar de o aleitamento materno ser uma das estratégias mais importantes na redução da mortalidade neonatal e infantil, muitas mulheres/mães no período pós-natal percebem diminuição acentuada de volume de leite humano logo após a fase da lactação chamada de lactogênese II(4). Esse fenômeno de baixa produção de leite se deve a vários fatores. Entre eles, estão a vivência estressante da separação mãe-bebê, métodos de alimentação infantil que não promovem o aleitamento materno, doenças maternas, comportamento alterado de mulheres/mães, conhecimento e habilidades insuficientes dos profissionais de saúde e necessidade de suporte logístico para a mãe amamentar(5).
Ao mesmo tempo em que a necessidade de suporte nutricional adequado para bebês prematuro esteja na oferta do leite materno, nem sempre é possível contemplação desta necessidade. Melhorar as condições de produção do leite materno é desafio que os profissionais de saúde enfrentam, pois nem todos estão preparados para manejar a baixa produção de leite humano, e mesmo os que têm preparo nem sempre conseguem driblar a baixa produção. As Práticas Integrativas e Complementares (PICs) entram como recurso alternativo muito eficaz, como mostram alguns trabalhos(6).
A PIC escolhida para o desenvolvimento deste estudo piloto foi a reflexologia podal (RP), que tem estudos apontados para melhoria da lactação em mulheres/mães em período pós-parto com baixa produção de leite materno(1,6-9). A RP é uma prática que tem princípios que, nos pés, há um microssistema com pontos que correspondem a todo o sistema de órgãos do corpo humano, e à medida que são estimulados ou tonificados, respondem e restauram sua funcionalidade e equilíbrio(10).
Embora haja maior número de publicações de estudos referentes à RP em condições de saúde diversas ao aleitamento materno, existem estudos de diferentes metodologias que demonstram o seu benefício. Em um deles, pesquisadora indiana identifica(9) estudos que sustentam melhoria de lactação através de aplicação da RP, além de ensaios clínicos que apontam melhoria das condições puerperais relativas à dor e condições de amamentação(6).
O estudo teve como hipóteses que: a RP não tem efeito nas mulheres/mães de bebês internados em Unidade de Terapia Intensiva Neonatal (UTIN) no que concerne à vazão do leite materno; e a auriculoterapia e RP têm efeito nas mulheres/mães de bebês internados em UTIN no que concerne à vazão do leite materno.
Desta forma, os objetivos deste estudo foram avaliar o efeito da RP para estímulo de lactação em mulheres/mães com bebês internados em UTIN de acordo com a mensuração da vazão do leite materno antes e depois da intervenção, e comparar a vazão do leite materno segundo os grupos com as variáveis de confusão.
MÉTODOS
Este estudo piloto de Ensaio Clínico Randomizado trata da avaliação de uma intervenção (RP para estímulo de lactação) e seus efeitos na vazão do leite materno em mulheres em período puerperal e que ainda não iniciaram a amamentação. Nele, empregaram-se duas intervenções. A taxa de alocação utilizada foi de 1:1 para o grupo de RP (GRP), com estímulo de pontos específicos para lactação, que representa o grupo de intervenção e o grupo controle (GC).
O estudo foi desenvolvido em um município do estado do Rio de Janeiro, em três unidades hospitalares de atendimento materno-infantil e com UTIN, sendo duas do setor público do Sistema Único de Saúde, e uma, do setor privado, o que possibilitou abrangência de populações diferentes dos estratos socioeconômicos.
As participantes da pesquisa foram recrutadas nas UTINs dessas unidades de saúde. Inicialmente, 40 mulheres/mães aceitaram participar do estudo, assinando o Termo de Consentimento Livre e Esclarecido. Elas estavam com seus recém-nascidos admitidos em UTINs desses três hospitais. Essas participantes não poderiam ter iniciado a amamentação; tiveram como condição inicial estarem no 10º ou a partir do 10º dia até o 20º dia de pós-parto; não poderiam ser portadoras de doenças tromboembólicas; ou que tivessem problemas na pele ou alterações anatômicas nos pés.
O estudo foi desenvolvido com coleta de dados durante 12 dias corridos a partir do momento em que a participante entrasse na pesquisa. O GRP foi submetido a três intervenções em dias alternados, no 3º, 6º e 9º dias, quando foi aplicada a RP para estimulação e lactação, o GC e o GRP receberam uma bomba de tirar leite manual Medela e orientação sobre manutenção da lactação com ordenha sistemática, no mínimo seis/dia. Todas preencheram diários com o número, tempo de ordenhas e volumes coletados. Ao final da coleta de dados, as participantes retornaram e entregaram o diário com os registros e a bomba de tirar leite manual à pesquisadora. Para formação dos grupos, foi sorteado, para cada participante, o número do seu grupo correspondente no momento em que era inserida na pesquisa. A coleta dedados ocorreu entre os dias 15 de janeiro de 2019 e 17 de fevereiro de 2020.
O tamanho da amostra depende do nível de significância aceitável, do poder do teste e do tamanho do efeito. O nível de significância é definido como a probabilidade de rejeitar a hipótese nula, pois ela é verdadeira(11). Usualmente, são utilizados os valores 1%, 5% ou 10%. O poder do teste é definido como a probabilidade de rejeitar a hipótese nula dado que ela é falsa, ou seja, a probabilidade de tomar a decisão correta quando a hipótese nula é falsa. Tamanho do efeito é definido como a magnitude da diferença das médias do GC e do grupo intervenção. Geralmente, o valor do tamanho do efeito é desconhecido, e precisa ser determinado a partir de estudos prévios ou amostras preliminares.
Para realizar o cálculo do tamanho de amostra, utilizamos um nível de significância de 5% e um poder de 90%. Para determinar o tamanho do efeito, utilizamos como amostra preliminar as observações da vazão no 5º dia de coleta, e observamos um tamanho de efeito igual a 1,61. Com base nesses valores, o tamanho de amostra necessário para cada grupo (controle e intervenção) foi de 7,4 indivíduos.
O desfecho esperado foi o aumento da vazão (volume/tempo) de leite materno comparado com a vazão das primeiras 48 horas antes de iniciarem as intervenções com as últimas 48 horas após a última intervenção (no 12º dia). Considerou-se a inserção das participantes no estudo partir do 10º dia pós-parto, limitada até o 20º dia pós-parto (na pesquisa entraram até o 14º dia). A intervenção principal é a RP para estímulo de lactação no GRP. No GC, o desfecho esperado foi a manutenção do volume da vazão do leite das primeiras 48 horas comparadas com as últimas 48 horas.
RESULTADOS
Somente 16 mulheres/mães conseguiram chegar até o final, sendo que as demais interromperam a coleta de dados por razões diversas, desde morte do concepto e por ter iniciado a amamentação antes do término da coleta de dados.
Tabela 1 - Variáveis de controle independentes. Niterói, RJ, Brasil, 2020
|
Idade das participantes do estudo: faixa etária de 18 anos até 25 anos: duas participaram |
|||||
|
Idade em anos |
18 a 25 |
26 a 30 |
31 a 35 |
36 a 40 |
41 a 43 |
|
Nº de participantes |
2 |
2 |
5 |
5 |
2 |
|
Distribuição dos participantes nos GC e do GRP no tempo em número de dias de pós-parto em que a participante entrou na pesquisa |
|||||
|
Número de dias |
10º |
11º |
13º |
14º |
|
|
Quantidade de participantes no GRP |
5 |
1 |
1 |
2 |
|
|
Quantidade de participantes no GC |
4 |
2 |
1 |
0 |
|
|
Distribuição dos participantes nos GC e de GRP de acordo com a cor da pele autorreferida, estado civil declarado e nível de escolaridade |
|||||
|
Cor |
|||||
|
Branca |
Preta |
Parda |
|||
|
Total: 6 (37,5%) |
Total: 7 (43,75%) |
Total: 3 (18,75%) |
|||
|
GC: 0 (0%) GRP: 2 (12,5%) |
GC: 4 (25%) GRP: 4 (25%) |
GC: 3 (18,75%) GRP: 3 (18,75%) |
|||
|
Estado civil |
|||||
|
Casada |
Solteira |
||||
|
Total: 12 (75%) |
Total: 4 (25%) |
||||
|
GC: 5 (31,25%) GRP: 5 (31,25%) |
GC: 2 (12,5%) GRP: 4 (25%) |
||||
|
Ensino |
|||||
|
|
|||||
|
Total: 1 (6,25%) Total 8 (50%) Total: 6 (37,5%) Total: 1 (6,25%) |
|||||
|
GC: 0 (0%) GC: 3 (18,75) GC: 3 (18,75%) GC: 1 (6,25%) GRP: 2 (12,5%) GRP: 4 (25%) GRP: 3 (18,75%) GRP: 0 (0%) |
|||||
|
|
|||||
|
Privada (nº de participantes) (nº de participantes) (nº de participantes) Renda familiar (salário mínimo) |
|||||
|
0 1 (6,25%) |
|||||
|
1 2 (12,5%) 1 (6,25%) |
|||||
|
2 1 (6,25%) 2 (12,5%) 1 (6,25%) |
|||||
|
3 |
|||||
|
6 1 (6,25%) |
|||||
|
7 1 (6,25%) |
|||||
|
9 1 (6,25%) |
|||||
|
10 2 (12,5%) |
|||||
|
|
|||||
|
UTIN de internação do bebê |
|||||
|
Hospital geral estadual |
Maternidade privada |
Hospital universitário |
|||
|
3 (18,17%) |
10 (62,5%) |
3 (18,17%) |
|||
|
GC: 1 (6,25%) GRP: 2 (12,5%) |
GC: 5 (31,25%) GRP: 5 (31,25%) |
GC: 1 (6,25%) GRP: 2 (12,5%) |
|||
|
Idade gestacional no parto |
|||||
|
Idade gestacional |
Total |
||||
|
26 a 28 semanas |
7 |
||||
|
29 a 31 semanas |
6 |
||||
|
32 a 35 semanas |
3 |
||||
Legenda: GC - grupo controle; GRP – grupo de reflexologia podal; UTIN – Unidade de Terapia Intensiva Neonatal.
Na Tabela 2, observa-se que, na maioria dos dias, a vazão média do GC é superior à do GRP. Considerando o desvio padrão, nota-se o comportamento inverso. Vale ressaltar que, em alguns dias, há falta de registro da vazão para algumas mulheres\mãe, destacando-se os dias 11 e 12.
Tabela 2 - Estatísticas da produção de leite coletado nos 12 dias da pesquisa pelas participantes. Niterói, RJ, Brasil, 2020
|
Grupo |
Vazão |
Mínimo |
1º quartil |
Mediana |
3º quartil |
Máximo |
Média |
DP |
|
GRP e GC |
Total |
6 |
103,8 |
190 |
303,8 |
1160 |
263,3 |
233,83 |
|
Média |
0,039 |
1,159 |
2,016 |
3,478 |
11,176 |
2,388 |
1,655 |
|
|
GRP |
Total |
6 |
85 |
120 |
430 |
840 |
241,9 |
215,98 |
|
Média |
0,039 |
0,625 |
1,478 |
3,836 |
11,176 |
2,230 |
1,971 |
|
|
GC |
Total |
35 |
155 |
208 |
252,5 |
1160 |
291 |
253,87 |
|
Média |
0,950 |
1,824 |
2,211 |
3,052 |
6,500 |
2,593 |
1,098 |
Legenda: GC - grupo controle; GRP - grupo de reflexologia podal; DP – desvio padrão.
Tabela 3 - Estatísticas da vazão de leite coletado nos 12 dias da pesquisa pelas participantes. Niterói, RJ, Brasil, 2020
|
Grupo |
Vazão |
Dia 1 |
Dia 2 |
Dia 3 |
Dia 4 |
Dia 5 |
Dia 6 |
Dia 7 |
Dia 8 |
Dia 9 |
Dia 10 |
Dia 11 |
Dia 12 |
|
GRP |
Média |
2,228 |
1,663 |
2,470 |
2,761 |
2,156 |
2,777 |
1,972 |
2,051 |
2,177 |
2,198 |
2,502 |
1,456 |
|
Desvio padrão |
2,342 |
1,623 |
2,024 |
3,440 |
1,666 |
2,450 |
1,552 |
1,661 |
1,639 |
1,630 |
2,085 |
0,854 |
|
|
Valores faltantes |
0 |
1 |
0 |
0 |
0 |
0 |
0 |
1 |
1 |
1 |
3 |
4 |
|
|
GC |
Média |
2,321 |
2,871 |
2,857 |
2,889 |
2,782 |
2,663 |
2,616 |
2,313 |
2,769 |
2,252 |
2,118 |
2,294 |
|
Desvio padrão |
0,759 |
1,376 |
1,289 |
1,750 |
1,085 |
0,895 |
1,126 |
1,155 |
0,971 |
1,277 |
0,623 |
0,374 |
|
|
Valores faltantes |
0 |
0 |
0 |
0 |
0 |
0 |
0 |
1 |
1 |
1 |
2 |
3 |
Legenda: GC - grupo controle; GRP - grupo de reflexologia podal.
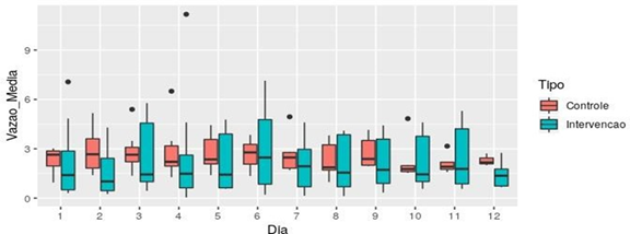
Na Figura 1, onde são apresentados os boxplots da variável vazão para cada um dos dias, pode-se observar que há uma maior variação dos dados no GRP do que no GC.
Os procedimentos com os grupos foram baseados no protocolo padrão de atendimento do “Atendimento Padrão às Mães com os Bebês Internados em UTIN”, em que as orientações básicas de estímulo de lactação por esvaziamento das mamas devem ser realizadas pelo menos seis vezes ao dia, podendo a mulher/mãe coletar o leite seguindo os protocolos de rigor de coleta, armazenamento e transporte do leite em rede de frio até ao Banco de Leite Humano de destino para doação ou ser tratado para consumo do próprio filho internado.
O GRP passou por três intervenções de RP para estímulo de lactação nos 3º, 6º e 9º dias de coleta de dados. A figura apresentada abaixo evidencia discrepância da dispersão dos volumes de leite colhido no GRP.
Figura 1 - Boxplot comparativo dia a dia. Niterói, RJ, Brasil, 2020

Tabela 4 - Diferença entre média das vazões médias diárias. Niterói, RJ, Brasil, 2020
|
Dia 1 |
Dia 2 |
Dia 3 |
Dia 4 |
|
-0,093 |
-1,208 |
-0,387 |
-0,129 |
|
Dia 5 |
Dia 6 |
Dia 7 |
Dia 8 |
|
-0,626 |
0,114 |
-0,644 |
-0,261 |
|
Dia 9 |
Dia 10 |
Dia 11 |
Dia 12 |
|
-0,592 |
-0,054 |
0,384 |
-0,838 |
Observando-se os valores encontrados, pode-se ver que, apenas nos 6º e 11º dias, o valor da média do grupo intervenção foi maior que o valor da média do GC.
Para a realização do teste de hipótese, foram comparados os dias que antecederam as intervenções com os dias posteriores. Para os dias pré-intervenção, utilizamos os 1º e 2º dias, e para os dias pós-intervenção, os 5º (48 horas após 1ª intervenção), 8º (48 horas após 2ª intervenção) e o 11º (48 horas após 3ª intervenção) dias do grupo GRP.
Devido à verificação da normalidade das observações através do teste de Shapiro-Wilk com 5% de significância, utilizou-se o teste t pareado para comparar a vazão média pré-intervenção e a vazão média pós-intervenção.
Tabela 5 - Testes de médias dentro do grupo de reflexologia podal (intervenção). Niterói, RJ, Brasil, 2020
|
Grupo |
Variáveis |
Valor de p |
Resultados |
|
Intervenção |
2o e 11o dias |
<0,01 |
Médias diferentes |
|
Intervenção |
1o e 11o dias |
0,03228 |
Médias diferentes para nível de 5% |
|
Intervenção |
2o e 5o dias |
0,03856 |
Médias diferentes para nível de 5% |
|
Intervenção |
2o e 8o dias |
0,0903 |
Médias iguais |
|
Intervenção |
1o e 5o dias |
0,1720 |
Médias iguais |
|
Intervenção |
1o e 8o dias |
0,2039 |
Médias iguais |
Observa-se, pela Tabela 4, para um nível de significância de 5%, a existência de diferença significativa entre a pré e pós-intervenção, nos 5º e 11º dias. Já para o 8º dia, não se encontrou evidência de diferença entre as médias.
A mesma avaliação foi realizada no GC. Os testes mostraram que não houve alteração significativa na vazão média ao longo do tempo. A Tabela 5 apresenta os resultados dos testes t pareados.
Tabela 6 - Resultados dos testes dentro do grupo controle. Niterói, RJ, Brasil, 2020
|
Grupo |
Variáveis |
Valor de p |
Resultados |
|
Controle |
2o e 11o dias |
0,8086 |
Médias iguais |
|
Controle |
1o e 11o dias |
0,9722 |
Médias iguais |
|
Controle |
2o e 5o dias |
0,7700 |
Médias iguais |
|
Controle |
1o e 5o dias |
0,1805 |
Médias iguais |
|
Controle |
2o e 8o dias |
0,5353 |
Médias iguais |
|
Controle |
1o e 8o dias |
0,8681 |
Médias iguais |
O teste de hipótese aplicado foi o teste t para as médias de duas populações independentes com variâncias diferentes. Para todos os dias, os resultados mostram que não existem diferenças significativas entre as médias dos GRP e GC.
Tabela 7 - Testes de médias entre os grupos controle e de reflexologia podal. Niterói, RJ, Brasil, 2020
|
Dia |
1 |
2 |
3 |
4 |
5 |
6 |
7 |
8 |
9 |
10 |
11 |
|
Valor de p |
0,913 |
0,143 |
0,649 |
0,924 |
0,380 |
0,900 |
0,352 |
0,735 |
0,416 |
0,946 |
0,683 |
DISCUSSÃO
Aqui, trabalhou-se com mulheres/mães que não iniciaram o aleitamento materno no tempo de 22 a 26 dias do pós-parto. Portanto, fisiologicamente, a produção láctea nessas mulheres se apresentou, de alguma forma, diminuída comparada ao momento do apogeu da produção, na fase da lactogênese II, iniciada entre 30 e 40 horas após o parto(4).
O perfil das 16 participantes do estudo é uma realidade próxima da amostra das 60% participantes que abandonaram a pesquisa. Uma das razões para a interrupção do seguimento da coleta de dados pode ser identificada na renda familiar, em que discrepâncias entre o setor público e privado são evidenciadas nos quesitos adesão e finalização da pesquisa.
Soma-se a isso o estresse parental causado pela internação do filho na UTIN, sendo este um dos muitos motivos que dificultam a efetiva formação de vínculo com o filho, fato observado quando o bebê é mais prematuro, tem baixo peso e está em estado mais grave(13).
Ainda dentro da falta de seguimento da presente pesquisa, todas as participantes tiveram seus filhos com idade gestacional inferior a 35 semanas, sendo a maioria com 30 semanas (Tabela 1). Isto teve influência direta em todos os níveis de produção de leite materno, visto as condições tanto fisiológicas dos partos prematuros quanto as condições estressantes nas quais essas mulheres/mães vivenciaram.
Além disso, foi identificado que a percepção da insuficiência de leite materno pelas nutrizes, o estresse da internação de seus filhos em uma UTIN, o tempo de coleta de dados e fatores econômicos foram indicativos de fragilidades para o seguimento no estudo, evidenciando, principalmente, a vulnerabilidade social, que permeou a população de mulheres/mães.
A vazão do leite materno vai além da sua produção. Ela é condicionada a vários indicadores, e estão associados aos fatores econômicos e ambientais, como tipo de apoio recebido pela nutriz, estresse, convivência com o pai do bebê, nível educacional, tempo gestacional no parto e etnia(14), assim como as condições fisiológicas e emocionais, que atravessam o seu fluxo facilitando ou inibindo a lactação.
Baseado nessas orientações, no que tange ao apoio das unidades de atendimento materno-infantil estadual e privado, mostrou-se ineficiência quanto ao preparo dessas mulheres no cuidado com a manutenção da lactação. Entre as dificuldades apresentadas, encontrou-se a restrição de seu funcionamento, que deveria estimular a mulher/mãe a realizar as coletas, nos tempos definidos e de forma livre, nas 24 horas(15). O acesso livre da mulher/mãe aos espaços reservados para coleta e armazenamento de leite materno também deve oferecer apoio e promover o aleitamento materno, o que gera como benefício a melhoria da vazão do leite materno nessas mulheres.
Os estressores internos na amamentação são: a percepção contrária da mulher; as condições biológicas inadequadas da mulher e da criança; a imagem corporal; e o papel de mãe conflituoso. Os estressores externos são: o espaço inadequado; os sistemas organizacionais ausentes ou ineficazes à proteção, promoção e apoio; e a autoridade familiar e social contrária à amamentação(16).
O apoio da instituição de internação do filho é fundamental para melhoria das condições de lactação e da vazão do leite da mulher, que permanece por longo tempo e necessita de acolhimento e respaldo profissional para sua manutenção(14-15). Além dessas ações, outras podem promover o bem-estar dessas mulheres, como a RP, que é uma intervenção que começa com o objetivo de relaxar o usuário e depois desenvolve estímulos específicos que a intervenção visa atingir. Dessa forma, é creditada a corresponsabilidade das unidades de saúde materno-infantil à manutenção da lactação e vazão do leite das mulheres/mães de prematuros sem condições de serem aleitados temporariamente.
A idade das participantes variou entre 18 e 43 anos de idade; 64,5% de toda a amostra apresentada tinha entre 31 e 40 anos; e apenas uma participante tinha idade inferior a 20 anos, o que representa 6,25% (Tabela 1). Considerando o fator idade, 50% das participantes foram consideradas de risco obstétrico.
A predominância da idade gestacional nos nascimentos foi de menos de 30 semanas, variando de 26 a 35 semanas (Tabela 1). Em relação às condições de parto prematuro, entre 22 e 34 semanas, a mamogênese poderá ou não estar suficientemente completa para lactação total. Além disso, o hormônio lactogênico placentário tem influência no desenvolvimento da glândula mamária. Para a mulher, a interrupção da gestação prematuramente não contribui para a lactação e condições de vazão fisiológicas plenas(4).
Partos prematuros são sabiamente reconhecidos como um fator de alto risco para hospitalização do feto em uma UTIN e uma maior chance de início tardio da amamentação(17). Além disso, as mães de bebês prematuros enfrentam desafios únicos decorrentes da situação da prematuridade, além do estresse inerente a um evento que envolve um resultado incerto(14). Esses fatores não contribuem para a prática do aleitamento materno, pois são afetados pelo tempo que, quanto mais demorado o seu início, menores são as chances de sucesso, dificultando ainda mais as condições de produção láctea e de vazão do leite materno(17). Ressalta-se que a sucção do bebê no seio materno (amamentação) é o melhor estímulo para produção e vazão do leite materno, pois, em si mesmo, estão todas as formas de estímulos neuronais necessários para liberação dos hormônios produtores e excretores do leite.
O fator idade da mulher/mãe não apresentou ter influência na lactação. Entretanto, em partos com idade gestacional abaixo de 35 semanas, houve reflexos nas condições da lactação e na vazão do leite materno, devido ao expresso pela fisiologia da lactação de mães de prematuros. A RP desenvolvida neste estudo enfrentou o desafio da lactação tardia e falta de estímulos para produção láctea, apontando ser uma estratégia para melhorar as condições da lactação e vazão do leite nas mulheres/mães impossibilitadas de amamentar.
Menos da metade da amostra das participantes que tiveram parto cesáreo (68%) representara o quantitativo de parto normal (32%). As taxas de cesarianas no setor público foram de 25% neste estudo, enquanto que, no setor privado, foi de 90%.
Os tipos de partos têm interferência na lactação, pois, por razões diversas, como as descargas hormonais ao final do trabalho de parto e uso de medicamentos durante o trabalho de parto, como anestésicos e perdas de sangue, podem atrasar a fase da lactogênese II(4,17).
Os partos cesáreos ou a fórceps são reconhecidos como fatores que propiciariam a lactogênese II tardia, além do uso de medicamentos anestésicos durante o procedimento cirúrgico. Outro dado correlacionado é o início da amamentação ocorrer tardiamente depois das primeiras 24 horas de vida do recém-nascido. O afastamento do filho logo após o nascimento devido à internação na UTIN, entre outros fatores, como dor após o parto, dificulta os cuidados da mãe com seu filho, e existem condições patológicas que exigem grandes perdas sanguíneas durante o parto. Todos esses motivos fazem com que o fluxo do leite materno fique comprometido(17).
Outro condicionante importante para o deslanche da vazão do leite materno são as condições de segurança quanto ao tratamento do filho internado, à facilidade do acesso à unidade de internação, às práticas promovidas pela instituição na manutenção da lactação, ao estímulo às visitas dos pais, e ao ambiente sereno e de fácil comunicação(17-18).
O parto prematuro, independentemente de ser eutócico ou distócico, tem implicação na vazão do leite materno. As condições dos partos, os riscos obstétricos, e o afastamento da mãe e do seu filho após o parto por necessidade de internação em uma UTIN são fatores agravantes que irão remeter às condições da lactação e da vazão do leite materno.
A RP se insere como forma de minimizar os efeitos deletérios na lactação tardia, através de uma intervenção que promove tanto o relaxamento quanto estímulo da lactação da mulher/mãe sem condições de amamentar.
Os estudos com metodologias similares a este e uso de RP para avaliação das condições de lactação em mulheres mostram diversidades de técnicas de intervenção e tempos variados de intervalos de aplicações, pois não há consenso do tempo mínimo e máximo para o espaçamento das intervenções. Esses espaçamentos variam, no mínimo, oito horas entre as aplicações durante três dias até o máximo de 48 horas por sete dias(19-23).
As aplicações de RP podem ter espaçamento entre horas variadas, podendo haver respostas por até semanas após uma aplicação. Quanto maior a gravidade e cronicidade dos casos, provavelmente maior será o número de intervenções para que se encontre a cura ou equilíbrio do sujeito(24).
Neste estudo, o tempo entre as intervenções foram de 48 horas, sendo similar ao tempo máximo de intervalos das intervenções nas outras pesquisas realizadas. Aqui, a primeira intervenção ocorreu 48 horas após a inserção da participante na pesquisa, visto que o estudo teve como objetivo avaliar a vazão do leite materno, antes e depois da RP, para estímulo de lactação, creditando sua validade como estratégia para melhoria da vazão do leite materno. Dessa forma, os registros dos volumes e tempos de coletas foram os dados, registrados no diário da participante, necessários para a avaliação da vazão antes da primeira intervenção. Assim como os registros do leite materno colhido pelas participantes por 12 dias e três intervenções, foi possível avaliar que houve efeitos positivos na vazão do leite materno.
A análise dos resultados foi realizada até o 11º dia, pois foram consideradas 48 horas após a última intervenção (9º dia) como marco de avaliação do “depois” da intervenção. No 12º dia, a participante continuou a registrar as coletas até o momento da entrega do material de pesquisa. Esses últimos registros serviram para dar continuidade ao estímulo de lactação nessas mulheres após a pesquisa realizada.
Inicialmente, o volume de leite coletado no GC foi maior. Apesar disso, demonstrou uma tendência para diminuição ao longo do tempo, mesmo considerando os estímulos pelo esvaziamento das mamas. Apesar das oscilações de volume dentro desse grupo, esperava-se que o GC tivesse um comportamento ao longo do tempo de volumes constantes de leite, uma vez que o esvaziamento das mamas seria suficiente para manutenção da lactação. Esse dado pode ser percebido com maior nitidez nos três últimos dias da Figura 1, no qual o teste estatístico do comportamento da vazão do leite materno do GC não demonstrou diferenças das médias na comparação dos 1º, 2º, 5º, 8º e 11º dias, como é apresentado na Tabela 5. Considerando este resultado, entende-se que o GC manteve a lactação através dos estímulos de esvaziamento das mamas sem apresentar aumento da vazão do leite materno. Quando ocorre a comparação dos mesmos dias que foram realizados testes de média de vazão do GRP, no GC, pode-se observar que as médias foram as mesmas nos dias que seriam antes e depois neste grupo.
A produção do leite coletado aponta diferenças entre os dois grupos. Inicialmente, em relação aos valores no 1º quartil, representando os primeiros 25% de valores no sentido crescente, no GC, obtiveram um valor equivalente ao dobro do valor no GRP. Os primeiros 50% dos valores são representados pela mediana, obtendo-se uma diferença um pouco menor na comparação dos dois grupos. Porém, o GC ainda manteu a superioridade diante do GRP. No 3º quartil, que representa os 75% dos valores, a diferença entre os grupos inverte, apontando que o valor do GC é representado por 58% do volume do GRP. O GRP expressa ter tido maiores médias de vazão, porém esses valores se apresentaram de forma dispersa na figura.
Ao ser observada a Figura 1 de média da vazão do leite materno dos dois grupos, observa-se um comportamento diferente do GRP, evidenciando maior dispersão dos volumes de leite.
Quando realizado o teste de comparação das médias de vazão do leite materno internamente nos grupos, o GRP mostrou-se diferente estatisticamente nos dias comparados, 1º e 11º, 2º e 11º, 2º e 5º, considerando o nível de significância de 5%, como mostra a Tabela 14. Além disso, nos 6º e 11º dias de coleta na comparação com os grupos GC e GRP, as médias se mostraram positivas para o GRP, evidenciando os efeitos das intervenções. Isto aponta para melhoria da vazão do leite materno nas participantes do GRP, reafirmando que a RP com estímulos de lactação tem efeito.
É importante ressaltar que a amostra dessas mulheres/mães está vivenciando situações de extremas emoções, pois ora o filho apresenta-se com boa evolução ora a qualquer momento o estado clínico pode mudar.
Sentimentos como ansiedade, angústia, medo, desamparo, desejo de fuga, necessidade de estar com o filho e necessidade de cuidar dele são reações de enfrentamento peculiares de cada genitor de bebê prematuro, pois perpassam a história de vida de cada um, o significado do bebê em suas vidas, e os projetos pessoais e familiares(25). Em função dessa vulnerabilidade, as condições emocionais têm um papel forte no desempenho da vazão do leite materno, o que colabora, além de para a própria intervenção da RP, para as oscilações das discrepâncias das vazões de leite materno.
Observando a Figura 1, pode-se afirmar que a RP propiciou melhora da vazão, mesmo que a diferença das médias de vazão do leite humano coletado dos dois grupos da pesquisa não tenha apresentado a diferença estatística significativa.
Este estudo piloto concluiu que a RP para estímulo de lactação, aplicada em mães de prematuros nascidos com menos de 35 semanas que não iniciaram o aleitamento materno até o 26º dia de pós-parto, teve influência na vazão do leite materno, quando comparado às médias da vazão do leite materno antes e após as intervenções.
A RP ofereceu às participantes do estudo indícios da melhoria da vazão e da produção láctea, o que pode ser considerado incentivo para a prática da amamentação.
Além da comprovação clínica de sua influência na lactação, traz uma abrangência maior ao cuidado à saúde da mulher no período pós-parto e, mais do que isso, em condições de vulnerabilidade física e emocional devido à hospitalização e aos riscos ao filho que não pode ser amamentado.
Neste caminho, a RP se apresentou como uma tecnologia no cuidado de enfermagem para apoiar o sucesso da lactação das mulheres/mães, expresso na vazão do leite materno.
CONSIDERAÇÕES FINAIS
Considerando todos os valores apresentados, a RP dá indícios fortes quanto a influenciar positivamente a lactação das mulheres/mães que não iniciaram a amamentação até o 26º dia pós-parto.
O protocolo de intervenção desenvolvido e aplicado no estudo foi capaz de estimular a produção láctea na mulher. Estratégias como esta podem favorecer a população de mulheres em condições de baixa produção láctea, melhorando os níveis de vazão do leite, incentivando o aleitamento materno mais prolongado nos bebês prematuros, diminuindo a morbimortalidade infantil e qualificando a vida de todos os envolvidos com o processo de cuidado da saúde materno-infantil.
Aqui ficam em destaque sugestões para o desenvolvimento de futuras pesquisas com o mesmo desenho de método, porém com maior número de intervenção e de amostras. Além disso, as pesquisas multicêntricas favoreceriam um perfil mais próximo de nossa população, podendo sustentar efetivamente essa prática como alternativa na condução da melhoria da vazão do leite materno em mulheres/mães com a lactação comprometida.
Este estudo piloto se limitou no número de amostras, porém é sugestivo que, no futuro, novas pesquisas possam ser desenvolvidas, com maior número de intervenções e com amostras maiores, em cenários diversos de nossa sociedade para melhor avaliação e comprovação de todos os indícios apresentados.
REFERÊNCIAS
1. Brandt GP, Britto AMA, Leite CCP, Marin LG. Factors Associated with Exclusive Breastfeeding in a Maternity Hospital Reference in Humanized Birth. Rev Bras Ginecol Obstet. 2021; 43(2): 91-96. doi: 10.1055/s-0040-1718450
2. Ministério da Saúde (BR). Saúde da criança: aleitamento materno e alimentação complementar. Brasília (DF): Ministério da Saúde; 2015.
3. Ministério da Saúde (BR). Dia Mundial da Prematuridade: “Separação Zero: Aja agora! Mantenha pais e bebês prematuros juntos” Biblioteca Virtual em Saúde. Brasília (DF): Ministério da Saúde; 2021.
4. Mannel R, Martens PJ, Walker M. Manual Prático para Consultores de Lactação. 2. ed. Lusociência: Edições Técnicas e Científicas, Lda; 2011.
5. Cunha CMC, Lima EFA, Galvão DMPG, Brito APA, Fonseca LMM, Primo CC. Breastfeeding assistance for preterm and low birth weight infants: best practices implementation Project. Rev Esc Enferm USP. 2024; 58: e20230380. doi: https://doi.org/10.1590/1980-220X-reeusp-2023-0380en
6. Machhi N, Tiwri A. Effect of foot reflexology on lactation - a literature. Int J Adv Res. 2019; 7(3): 962-966. doi: 10.21474/IJAR01/8723.
7. Branco MBLR, Alves VH, Rodrigues DP, Guerra JVV, Silva RP, Santos MV. A reflexologia podal no aleitamento materno: uma scoping review. Saúde (Santa Maria). 2021; 47(1): e62952. doi: 10.5902/22365834
8. Abbaspoor Z, Mohaghed Z, Siankkal SF, Yousefi F, Zahedian M. The effect of foot reflexology on lactation and breast milk human volume in postpartum women. A Systematic Review and Meta-analysis. J Midwifery Reproductive Health. 2025; 13(Issue 1): 4510-4661. doi: 10.22038/jmrh.2024.73794.2154.
9. Embone NH, Soh YC, Ming LC, Wong TW. Revisiting reflexology: Concept, evidence, current practice, and practitioner training. J Tradit Complement Med. 2015; 28;5(4): 197-206. doi: 10.1016/j.jtcme.2015.08.008
10. Kiliçli A, Zeyneloglu S. Effect of Reflexology on Pain, Fatigue, Sleep Quality, and Lactation in Postpartum Primiparous Women After Cesarean Delivery: A Randomized Controlled Trial. Sage Journals. 2024; 40(2): 221-236. doi: 10.1177/08903344241232982.
11. Chow S-C, Shao J, Wang H. Sample Size Calculations in Clinical Research. New York: Chapman & Hall/CRC; 2008.
12. Champely S. Pwr: Basic Functions for Power Analysis. R package version 1.2-2. 2018.
13. Fróesa GF, Mendes ENW, Pedrozac GA, Cunha MLC. Estresse experimentado por mães de recém-nascidos pré-termo em unidade de terapia intensiva neonatal. Rev Gaúcha Enferm. 2020; 41: e20190145. doi: http://dx.doi.org/10.1590/1983-1447.2020.20190145
14. Lima APE, Castral TC, Leal LP, Jarvorski M, Sette GCS, Scochi CG, Vasconcelos MGL. Aleitamento materno exclusivo de prematuros e motivos para sua interrupção no primeiro mês pós-alta hospitalar. Rev Gaúcha Enferm. 2019; 40: e20180406. doi: https://doi.org/10.1590/1983-1447.2019.20180406
15. Silva MDB, Ferreira TMG, Carvalho MS, Melo ECP Gemelaridade e prematuridade no aleitamento materno. Rev Enferm UERJ. 2024; 32: e72201. doi: https://doi.org/10.12957/reuerj.2024.
16. Li J, Yan J, Jiang W. The role of maternal age on adverse pregnancy outcomes among primiparous women with singleton birth: a retrospective cohort study in urban areas of China. J Maternal-Fetal amp; Neonatal Medicine. 2023; 36(2): 265-272. doi: https://doi.org/10.1080/14767058.2023.2250894
17. Fonseca FMV. A Influência do tipo de parto no aleitamento materno. Revisão sistemática da literatura. 5º Curso de Mestrado em Enfermagem de Saúde Materna Obstétricia e Ginecológica. Viseu: Instituto Politécnico de Viseu; 2020.
18. Siqueira DS, Fiori HH, Silva EF. Aleitamento materno de prematuros internados em Unidade de Terapia Intensiva neonatal: coorte prospectiva. Espac. Saúde. 2023; 24: e935 doi: https://doi.org/10.22421/1517-7130/es.2023v24.e935
19. Mirzaie P, Mohammad ACS, Goljarian S et al. The effect of foot reflexology massage on breast milk volume of mothers with premature infants: A randomized controlled trial. European J Integrative Medicine. 2018; 17: 72-78. DOI: https://doi.org/10.1016/j.eujim.2017.11.010
20. Mohammadpour A, Valiani M, Sadeghnia A, Talakoub S. Investigating the Effect of Reflexology on the Breast Milk Volume of Preterm Infants' Mothers. Iran J Nurs Midwifery Res. 2018; 23(5): 371-375. doi: 10.4103/ijnmr.IJNMR_175_16. PMID: 30186342
21. Çankaya S, Ratwisch G. The Effecto Reflexology on Lactation and Postpartum Comfort in Caesarean-Delivery Primiparous Mothers: A Randomized Controlled Study. Int J Nurs Pract. 2020; 26(3): e12824. doi: 10.1111/ijn.12824.
22. Eshgizadeh M, Moshkj M, Mojtabavi J, Derakshan N. Foot reflexology project for milk production in mothers of premature babies. Ufuq-I Dãnish. 2018; 23(4): 319-324. doi: 18869/acadpub.hms.23.4.319
23. Nodehi FN, Aziznejadroshan P, Nikbakht HA, Haqshanas M, Halakhor S. The effect of foot reflexology on the volume and composition of breast milk in mothers of premature infants hospitalized in the neonatal intensive care unit: a randomized controlled trial. BMC Pediatr. 2024; 24(1): 799. doi: https://doi.org/10.1186/s12887-024-05270-4
24. Gilladers A. Guia Completo de Reflexologia: todo o conhecimento necessário para adquirir competência profissional. São Paulo: Pensamento; 2008.
25. Freitas ALL-P, Lazzarini ER, Seidl EMF. Um olhar psicanalítico sobre a amamentação de bebês prematuros na UTI neonatal. Rev Psicol Saúde. 2021; 1(2):111-124. doi: http://dx.doi.org/10.20435/pssa.v13i2.1194
Contribuições de autoria
Autor 1 - Maria Bertilla Lutterbach Riker Branco Contribuições: Concepção e desenho do estudo, análise e interpretação dos dados, revisão final com participação crítica no manuscrito.
Autor 2 - Valdecyr Herdy Alves Contribuições: Concepção e desenho do estudo, análise e interpretação dos dados, revisão final com participação crítica no manuscrito.
Autor 3 - Diego Pereira Rodrigues Contribuições: Concepção e desenho do estudo, análise e interpretação dos dados, revisão final com participação crítica no manuscrito.
Autor 4 - Hugo Henrique Kegler dos Santos Contribuições: Concepção e desenho do estudo, revisão final com participação crítica e análise intelectual no manuscrito.
Autor 5 - Karina Yuriko Yaginuma Contribuições: Revisão final com participação crítica e análise intelectual no manuscrito.
Autor 6 - Audrey Vidal Pereira Contribuições: Concepção e desenho do estudo e análise e interpretação dos dados.
Autor 7 - Bianca Dargam Gomes Vieira Contribuições: Revisão final com participação crítica e análise intelectual no manuscrito.
Declaração de conflito de interesses
Nada a declarar.
Fomento e Agradecimento
Sem financiamento
Editor Científico: Ítalo Arão Pereira Ribeiro. Orcid: https://orcid.org/0000-0003-0778-1447
Rev Enferm Atual In Derme 2025;99(4): e025133