REVISÃO DE ESCOPO

 

PERCEPÇÃO DE PACIENTES PEDIÁTRICOS ONCOLÓGICOS SOBRE QUALIDADE DE VIDA EM CUIDADOS PALIATIVOS: REVISÃO DE ESCOPO

 

PERCEPTION OF PEDIATRIC ONCOLOGY PATIENTS ABOUT QUALITY OF LIFE IN PALLIATIVE CARE: SCOPING REVIEW

 

PERCEPCIÓN DE PACIENTES PEDIÁTRICOS ONCOLÓGICOS SOBRE LA CALIDAD DE VIDA EN CUIDADOS PALIATIVOS: REVISIÓN DE ALCANCE

 

https://doi.org/10.31011/reaid-2026-v.100-n.2-art.2693

 

1Giovani Basso da Silva

2Heloísa Benvenutti

3Guilherme Kayser Prates

4Lucas Paulo de Souza

5 Maiara Rosa dos Santos

6João Gabriel Toledo Medeiros

7Luccas Melo de Souza

8 Lucia Campos Pellanda

 

1Mestrando no Programa de Pós-Graduação em Enfermagem da Universidade Federal de Ciências da Saúde de Porto Alegre, Porto Alegre, Brasil. ORCID: https://orcid.org/0009-0002-6915-4801 

2Especialista em Atenção Cardiovascular. Fisioterapeuta. Hospital de Clínicas de Porto Alegre. Hospital de Clínicas de Porto Alegre, Porto Alegre, Brasil. ORCID: https://orcid.org/0000-0001-8558-1008 

3 Graduando de enfermagem da Universidade Federal de Ciências da Saúde de Porto Alegre, Porto Alegre, Brasil. ORCID: https://orcid.org/0009-0002-6817-8991 

4Mestrando no Programa de Pós-Graduação em Pediatria da Universidade Federal de Ciências da Saúde de Porto Alegre, Porto Alegre, Brasil. ORCID: https://orcid.org/0000-0002-3108-445X 

5Mestre em Patologia pela Universidade Federal de Ciências da Saúde de Porto Alegre. Enfermeira, Porto Alegre, Brasil. ORCID: https://orcid.org/0000-0002-3108-445X 

6Doutorando no Programa de Pós-Graduação em Pediatria da Universidade Federal de Ciências da Saúde de Porto Alegre, Porto Alegre, Brasil. ORCID: https://orcid.org/0000-0002-2789-9189 

7Doutor em enfermagem e Professor do Departamento de Enfermagem da Universidade Federal do Rio Grande do Sul e do Programa de Pós-Graduação em Enfermagem da Universidade Federal de Ciências da Saúde de Porto Alegre, Porto Alegre, Brasil. ORCID: https://orcid.org/0000-0003-1629-9935 

8Doutora em Ciências da Saúde. Médica e Professora da Universidade Federal de Ciências da Saúde de Porto Alegre, Porto Alegre, Brasil. ORCID: https://orcid.org/0000-0002-4593-3416 

 

Autor correspondente

Guilherme Kayser Prates

Rua Sarmento Leite, 245- Porto Alegre, RS. Brasil. CEP: 90050-170. Telefone: +55(51) 98152-9998. E-mail: guikprates@gmail.com

 

Submissão: 20-11-2025

Aprovado: 07-04-2026

 

RESUMO

Objetivo: Explorar como é a percepção de pacientes pediátricos com câncer que ingressam em cuidados paliativos exclusivos em relação à sua doença e qualidade de vida, identificando os principais fatores que influenciam essa vivência. Método: Trata-se de uma revisão de escopo conduzida conforme as diretrizes do JBI e estruturada segundo o checklist PRISMA-ScR. Foram incluídos estudos publicados entre 2020 e 2025, extraídos das bases PubMed, Scielo e Web of Science. A seleção dos artigos foi realizada de forma independente por dois revisores, com análise descritiva dos dados e avaliação metodológica por instrumento validado. Resultados: Do total de 249 estudos identificados, 12 foram incluídos. As evidências revelaram sete categorias principais: diferença na percepção entre crianças e pais, sintomas e sofrimento, aspectos emocionais e psicológicos, impacto da introdução precoce dos cuidados paliativos, planejamento antecipado de cuidados, qualidade de vida percebida e importância da comunicação com profissionais. Crianças frequentemente apresentaram uma visão mais positiva que seus pais, valorizando autonomia e suporte emocional. Conclusão: A percepção das crianças sobre sua condição deve ser considerada nas decisões de cuidado, reforçando a importância de uma escuta ativa, comunicação sensível e estratégias que promovam qualidade de vida desde a introdução dos cuidados paliativos.

Palavras-Chave: Cuidados Paliativos; Criança; Neoplasias; Oncologia; Qualidade de Vida.

 

ABSTRACT

Objective: To explore how pediatric cancer patients who enter exclusive palliative care perceive their illness and quality of life, identifying the main factors influencing this experience. Method: This is a scoping review conducted according to the Joanna Briggs Institute guidelines and structured following the PRISMA-ScR checklist. Studies published between 2020 and 2025 were included, sourced from PubMed, Scielo, and Web of Science databases. Article selection was independently performed by two reviewers, with descriptive data analysis and methodological appraisal using a validated tool. Results: Of the 249 studies identified, 12 were included. The evidence revealed seven main categories: difference in perception between children and parents, symptoms and suffering, emotional and psychological aspects, impact of early palliative care introduction, advance care planning, perceived quality of life, and the importance of communication with professionals. Children often presented a more positive view than their parents, valuing autonomy and emotional support. Conclusion: Children’s perceptions of their condition should be taken into account in care decisions, reinforcing the importance of active listening, sensitive communication, and strategies that promote quality of life from the initiation of palliative care.

Keywords: Palliative Care; Child; Neoplasms; Oncology; Quality of Life.

RESUMEN

Objetivo: Explorar cómo es la percepción de los pacientes pediátricos con cáncer que ingresan a cuidados paliativos exclusivos en relación con su enfermedad y calidad de vida, identificando los principales factores que influyen en esta vivencia. Método: Revisión de alcance conforme a las directrices del Instituto Joanna Briggs y al checklist PRISMA-ScR. Se incluyeron estudios publicados entre 2020 y 2025, localizados en PubMed, Scielo y Web of Science. La selección fue realizada por dos revisores de forma independiente, con análisis descriptivo de los datos y evaluación metodológica mediante instrumento validado. Resultados: De los 249 estudios identificados, 12 fueron incluidos. Las evidencias se agruparon en siete categorías: diferencias de percepción entre niños y padres, síntomas y sufrimiento, aspectos emocionales, impacto de la introducción temprana de cuidados paliativos, planificación anticipada, calidad de vida percibida y comunicación con profesionales. Se observó que los niños tienden a expresar una visión más positiva que la de sus padres, con énfasis en la autonomía y el apoyo emocional. Conclusión: La percepción de los niños debe integrarse en las decisiones de cuidado, destacando la necesidad de comunicación sensible, escucha activa y estrategias que promuevan calidad de vida desde el inicio de los cuidados paliativos.

Palabras-Clave: Cuidados Paliativos; Niño; Neoplasias; Oncología; Calidad de Vida.

 

INTRODUÇÃO

O câncer representa uma das principais causas de morbidade e mortalidade entre crianças e adolescentes em todo o mundo. Apesar dos avanços significativos nos tratamentos oncológicos, que resultaram em taxas de sobrevivência superiores a 80% em países desenvolvidos, a jornada terapêutica permanece desafiadora para os pacientes pediátricos e suas famílias (1).

No entanto, uma parcela desses pacientes evolui para estágios avançados da doença, necessitando de cuidados paliativos exclusivos. Nessa fase, compreender a percepção das crianças sobre sua condição e qualidade de vida torna-se essencial para a elaboração de estratégias de cuidado que atendam às suas necessidades específicas (2).

Os pais de crianças com câncer frequentemente percebem seus filhos como vulneráveis, que está associada a uma pior qualidade de vida relatada para as crianças. Um estudo identificou que a percepção parental de vulnerabilidade influencia negativamente diferentes aspectos da qualidade de vida das crianças, incluindo dor, náusea, ansiedade procedimental, preocupação, dificuldades cognitivas e comunicação (3). Esses achados ressaltam a importância de considerar a perspectiva dos pais ao avaliar o bem-estar infantil, ao mesmo tempo em que se buscam estratégias para minimizar o impacto dessas percepções na experiência da criança com a doença.

Aspectos emocionais e psicológicos, como medo da morte, resiliência e esperança, também possuem um impacto significativo na experiência dessas crianças. O fortalecimento da comunicação contínua entre cuidadores e pacientes pode servir como um apoio emocional contínuo e também diminuir os níveis de ansiedade e depressão (4). Tais medidas podem promover a continuidade das atividades cotidianas e o fortalecimento dos laços familiares, tanto durante a hospitalização para tratamento e cura, quanto na hora da “paliativar o paciente".

A introdução aos cuidados paliativos apresenta barreiras socioculturais que atrasam o entendimento da família e da criança sobre o seu processo saúde e doença (5). Integrar cuidados paliativos desde o diagnóstico permite uma abordagem mais holística, focada não apenas no tratamento da doença, mas também no bem-estar geral da criança e da família (5).

Diante desse cenário, este estudo objetiva explorar como é a percepção de pacientes pediátricos com câncer que ingressam em cuidados paliativos exclusivos em relação à sua doença e qualidade de vida, identificando os principais fatores que influenciam essa vivência. Busca-se identificar as principais divergências e convergências, fornecendo subsídios para práticas clínicas que promovem um cuidado centrado no paciente e alinhado às necessidades familiares e dos profissionais.

 

MÉTODOS

Trata-se de uma revisão da literatura do tipo Revisão de Escopo (Scoping Review - SR). As SR são usadas para delinear os principais conceitos que sustentam e norteiam um determinado campo de pesquisa, assim como esclarecer as definições de trabalho e limites conceituais de um determinado tópico (6).

Esta SR está estruturada de acordo com o Preferred Reporting Items for Systematic review and Meta-Analysis Protocols (PRISMA-P) (7). O PRISMA-P é um checklist para guiar a formulação de um protocolo de revisão sistemática, em que seus conceitos gerais podem ser adotados para a elaboração de uma SR, a fim de garantir um maior rigor metodológico.

 

Protocolo e registro

A SR foi conduzida de acordo com as orientações do JBI.8Os resultados foram estruturados de acordo com o check-list Preferred Reporting Items for Systematic reviews and Meta-Analyses extension for Scoping Reviews (PRISMA-ScR) (7). O protocolo desta SR foi registrado na plataforma Open Science Framework sob registro https://osf.io/h8u5e/.

 

Definição e alinhamento do objetivo e questão de pesquisa

Esta SR tem como objetivo explorar como é a percepção de pacientes pediátricos oncológicos que entram em cuidados paliativos em relação à sua doença e qualidade de vida. A formulação da questão de pesquisa foi orientada pelo mnemônico PCC (População, Conceito e Contexto). Assim, a construção do acrônimo considerou: (1) como população, crianças e adolescentes diagnosticados com câncer que ingressaram em cuidados paliativos exclusivos; (2) como conceito, a percepção da doença e da qualidade de vida relatada pelos próprios pacientes, pais ou cuidadores, bem como suas experiências em cuidados paliativos; e (3) como contexto, estudos que abordem a vivência dos pacientes pediátricos em cuidados paliativos, considerando diferentes cenários de atendimento, como hospitais, domicílios e unidades especializadas.

A partir da definição do mnemônico, estruturou-se a seguinte pergunta de pesquisa: “Como é a percepção de pacientes pediátricos oncológicos que entram em cuidados paliativos exclusivos em relação à sua doença e qualidade de vida?”

 

Critérios de inclusão e exclusão

Os critérios de inclusão para esta revisão contemplaram estudos primários (como ensaios clínicos randomizados, estudos de coorte, estudos transversais, estudos observacionais, entre outros) e estudos secundários (revisões sistemáticas, integrativas, meta análises, entre outros). Foram considerados elegíveis somente estudos em inglês publicados, em periódicos indexados, no período de janeiro de 2020 a fevereiro de 2025, mês em que os estudos foram coletados. Nesse estudo foram excluídos estudos realizados fora do contexto hospitalar, pesquisas envolvendo populações de neonatos, adultos, ou populações geriátricas .

 

Estratégia de busca

A partir do mnemônico PCC, as estratégias de busca foram construídas através dos Decs/Mesh Terms nos idiomas português, inglês e espanhol. A estratégia de busca está sistematizada no Quadro 1. A busca ocorreu nas bases de dados PubMed, Scielo e Web Of Science no período entre janeiro e fevereiro de 2025.

 

Quadro 1 - Estratégias de busca. Porto Alegre, Rio Grande do Sul, 2025.

Base de dados

Estratégia de busca

Resultados (n)

PubMed

((Child OR Children OR Pediatric OR Pediatrics OR Childhood) AND (Cancer OR Neoplasms OR Oncology OR Pediatric Oncology OR Childhood Cancer) AND (Palliative Care OR Pediatric Palliative Care OR End-of-Life Care OR Terminal Care) AND (Quality of Life OR Well-Being OR Health Perception OR Psychosocial Aspects) AND (Perception OR Patient Perception OR Perspective OR Patient Experience OR Attitudes))

3

SciELO

((Child OR Children OR Pediatric OR Pediatrics OR Childhood) AND (Cancer OR Neoplasms OR Oncology OR Pediatric Oncology OR Childhood Cancer) AND (Palliative Care OR Pediatric Palliative Care OR End-of-Life Care OR Terminal Care) AND (Quality of Life OR Well-Being OR Health Perception OR Psychosocial Aspects) AND (Perception OR Patient Perception OR Perspective OR Patient Experience OR Attitudes))

4

Web of Science

TS=((Child OR Children OR Pediatric OR Pediatrics OR Childhood) AND (Cancer OR Neoplasms OR Oncology OR Pediatric Oncology OR Childhood Cancer) AND (Palliative Care OR Pediatric Palliative Care OR End-of-Life Care OR Terminal Care) AND (Quality of Life OR Well-Being OR Health Perception OR Psychosocial Aspects) AND (Perception OR Patient Perception OR Perspective OR Patient Experience OR Attitudes))

242

Fonte: Autores (2025)

 

Seleção de estudos

Após a busca nas bases de dados, todas as etapas de seleção dos estudos elegíveis ocorreram de forma sistemática, aos pares, de forma independente e cegada por dois pesquisadores distintos, conforme recomendação do JBI, através da ferramenta Rayyan®(8). As divergências encontradas foram solucionadas por um terceiro revisor. O processo de inclusão dos estudos foi sistematizado e ocorreu de acordo com o Checklist PRISMA, sendo apresentado na seção de resultados.7

 

Extração de dados

A extração de dados ocorreu de forma sistemática e padronizada, utilizando o software Microsoft Excel® para garantir a consistência e reprodutibilidade da RS. As seguintes informações dos estudos foram resumidas: título, autor, ano, país de origem, objetivo, desenho e principais resultados.

 

Análise de dados

A análise das evidências foi realizada por meio da organização e apresentação estruturada dos dados extraídos. Para tal, foram empregadas tabelas, gráficos e representações visuais, visando otimizar a inteligibilidade dos achados elaborados de forma descritiva. Os estudos selecionados ainda foram analisados quanto à sua qualidade utilizando o Checklist for Analytical Cross Sectional Studies, desenvolvido pelo JBI (8).  Foram avaliados aspectos como a definição dos sujeitos e ambientes, a validade e confiabilidade da medição da exposição, a adequação dos critérios diagnósticos, a identificação e controle de fatores de confusão, a validade e confiabilidade das medições dos resultados e o uso apropriado de análise estatística. Estudos que atenderam a mais de 90% desses critérios foram classificados como de alta qualidade (9).  Para a avaliação do risco de viés e qualidade metodológica dos estudos, foi utilizada a ferramenta Robvis Online, adaptada conforme as recomendações da JBI (8,10).

 

RESULTADOS

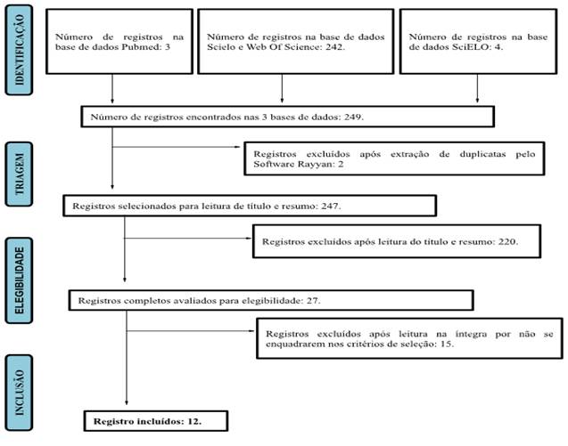
Foram identificados 249 estudos a partir da busca nas bases de dados PubMed (n=3), SciELO (n=4) e Web of Science (n=242), utilizando as estratégias previamente definidas. Após a remoção de duplicatas com o auxílio do software Rayyan, restaram 247 registros para leitura de títulos e resumos. Nessa etapa, 220 estudos foram excluídos por não atenderem aos critérios de elegibilidade. Foram, então, selecionados 27 artigos para leitura na íntegra. Após essa avaliação completa, 15 registros foram excluídos por não se enquadrarem nos critérios de inclusão. Dessa forma, 12 estudos compuseram a amostra final deste estudo, conforme apresentado na Figura 1.

 

Figura 1 - Fluxograma de seleção de estudos elegíveis. Porto Alegre, Rio Grande do Sul, 2025.

Diagrama

O conteúdo gerado por IA pode estar incorreto.

Fonte: Dados da pesquisa, 2025.

 

Características dos estudos

Os estudos incluídos nesta revisão foram publicados entre os anos de 2019 e 2024, com maior concentração no ano de 2024 (n=4). Os Estados Unidos foram o país com maior número de publicações (n=5), seguidos pela Espanha (n=2), e pelos demais países (Índia, China, Itália, Coreia do Sul e Canadá) com um estudo cada. A maioria dos estudos foi conduzida em países da América do Norte, totalizando sete pesquisas, o que representa uma tendência de produção científica concentrada nessa região. As amostras dos estudos variaram entre 10 e 159 participantes, sendo o maior número observado no estudo realizado no Canadá. O Quadro 2 descreve as principais características dos estudos.

Além disso, a qualidade metodológica dos estudos foi avaliada com base no instrumento Checklist for Analytical Cross Sectional Studies do JBI (8).  O Quadro 2 apresenta a síntese da avaliação da qualidade metodológica dos estudos incluídos, indicando os critérios atendidos por cada um. Complementarmente, A Figura 2 evidencia a Avaliação da Qualidade e o Risco de Viés dos estudos, permitindo visualizar de forma comparativa os resultados obtidos na aplicação do checklist.

 

Quadro 2 - Artigos selecionados para compor a revisão. Porto Alegre, Rio Grande do Sul, 2025.

Estudo

Ano

Local

Amostra

Critérios Atendidos (%)

 

Classificação

Montgomery (2020) (11)

2020

EUA

46

95

Alta Qualidade

Toro-Pérez (2024) (12)

2024

Espanha

44

90

Alta Qualidade

Requena (2022) (13)

2022

EUA

23

85

Média Qualidade

Suthan (2024) (14)

2024

Índia

75

88

Alta Qualidade

Montgomery (2019) (15)

2019

EUA

46

93

Alta Qualidade

Lin (2023) (16)

2023

China

10

80

Média Qualidade

Podda (2021) (17)

2021

Itália

41

87

Média Qualidade

Kim (2021) (18)

2021

Coreia do Sul

109

92

Alta Qualidade

Kaye (2021) (19)

2021

EUA

32

89

Alta Qualidade

Toro-Pérez (2024) (20)

2024

Espanha

30

91

Alta Qualidade

Bedoya (2022) (21)

2022

EUA

129

84

Média Qualidade

Johnson (2024) (22)

2024

Canadá

159

88

Alta Qualidade

Fonte: Dados da pesquisa, 2025.

Figura 2 - Avaliação da Qualidade e Risco de Viés dos Estudos

Fonte: Dados da Pesquisa, 2025.

 

A fim de estabelecer os principais fatores de risco e possíveis vieses, os autores analisaram os estudos incluídos com base nos critérios do checklist adotado. Foram identificadas quatro categorias principais de risco metodológico. O primeiro fator refere-se à amostra representativa, uma vez que alguns estudos apresentaram tamanhos amostrais reduzidos ou seleção restrita, o que pode comprometer a generalização dos resultados (16,21). O segundo fator diz respeito à medida da exposição, especialmente em estudos que não descreveram de forma clara os procedimentos de coleta dos dados relacionados à percepção da qualidade de vida dos pacientes (13).

O terceiro ponto crítico foi a identificação de fatores de confusão; em diversos estudos, não foram adotadas estratégias robustas para controle de vieses de informação e seleção, o que pode comprometer a validade das conclusões (13,14,16,17,19,21). Observou-se deficiência na análise estatística em estudos com menor pontuação metodológica, os quais apresentaram análises estatísticas menos sofisticadas ou não realizaram correções para potenciais vieses (16,21).

Por fim, os estudos foram organizados em grupos temáticos com base nas semelhanças identificadas nas percepções expressas pelas crianças acerca de sua própria doença, considerando aspectos emocionais, cognitivos, sociais e existenciais emergentes nos relatos. O Quadro 3 apresenta de forma sistematizada os principais temas identificados nos estudos incluídos, ilustrando os principais achados.

 

Quadro 3 - Principais achados identificados. Porto Alegre, Rio Grande do Sul, 2025.

Tema

Principais Achados

Estudos Referenciados

Diferença na Percepção entre Crianças e Pais

Crianças avaliam sua qualidade de vida de forma mais otimista que os pais.

Montgomery (2020) (11)

Toro-Pérez (2024) (12)

Sintomas e Sofrimento

Os sintomas mais relatados incluem dor, fadiga e dificuldade para dormir.

Requena (2022) (13)

Montgomery (2019) (15)

Aspectos Emocionais e Psicológicos

Crianças expressam medo da separação, mas demonstram resiliência.

Lin (2023) (16)

Kim (2021) (18)

Impacto da Introdução Precoce dos Cuidados Paliativos

Melhora a adaptação dos pacientes e suas famílias.

Podda (2021) (17)

Kaye (2021) (19)

Discussões sobre Planejamento Antecipado de Cuidados

Adolescentes relataram que discussões sobre planejamento antecipado de cuidados melhoraram sua comunicação com familiares e amigos.

Bedoya (2022) (21)

Qualidade de Vida percebida por crianças com câncer avançado

Crianças destacam a importância de manter autonomia, estabelecer normalidade e receber apoio emocional.

Johnson (2024) (22)

Importância da Comunicação e Relacionamento com Profissionais de Saúde

Crianças valorizam comunicação aberta e suporte emocional.

Suthan (2024) (14)

Toro-Pérez (2024) (20)

Fonte: Dados da pesquisa, 2025.

 

DISCUSSÃO

A percepção de pacientes pediátricos oncológicos que ingressam em cuidados paliativos exclusivos sobre sua doença e qualidade de vida é um tema sensível e ainda pouco explorado nos ambientes de saúde. Frequentemente, a atenção se concentra na perspectiva de profissionais de saúde e familiares, enquanto a visão da própria criança é negligenciada. No entanto, no contexto da oncologia pediátrica, é fundamental que a criança tenha voz e seja compreendida em relação ao seu processo de saúde e doença (23).

Ao avaliar a percepção da criança oncológica sobre os cuidados paliativos exclusivos, este estudo identificou sete temáticas de maior relevância para esse público, evidenciando a necessidade de considerar suas experiências e sentimentos na abordagem assistencial.

 

Diferença na percepção entre Crianças e Pais

Alguns estudos identificaram que crianças com câncer avançado frequentemente avaliam sua qualidade de vida de maneira mais otimista do que seus pais ou cuidadores, mesmo diante de sintomas graves (11-12). Essa observação é corroborada por um estudo realizado em Portugal, que encontrou uma percepção mais positiva das crianças em comparação aos seus pais, indicando uma concordância moderada entre auto e heterorrelato (24). Essas discrepâncias podem ser atribuídas ao intenso envolvimento emocional dos pais e ao desejo de proteger os filhos, o que pode distorcer a percepção do sofrimento real das crianças. Compreender essas diferenças é crucial para alinhar as abordagens terapêuticas e garantir que as necessidades reais das crianças sejam atendidas(25).

Crianças enfrentando doenças oncológicas frequentemente demonstram um amadurecimento precoce, devido a situações de estresse pós-traumático, assumindo comportamentos mais maduros e perdendo parte da vivência típica da infância(25-26). Essa característica pode estar relacionada ao desejo de proteger seus familiares, levando-as a minimizar ou ocultar seus verdadeiros sentimentos sobre sua saúde e doença.

 

Sintomas e Sofrimento

Em contrapartida, quando abordado temáticas sobre a sintomatologia e sofrimento em relação ao seu processo saúde e doença, identificou-se que os sintomas mais frequentemente relatados por crianças com câncer avançado incluem dor, fadiga, dificuldade para dormir e perda de apetite (13,15). Esses achados são consistentes com um estudo que demonstrou que crianças e adolescentes hospitalizados com câncer apresentam baixa qualidade de vida e altos níveis de fadiga (17,27).

Entretanto, em alguns casos, mesmo em cuidados paliativos, muitas crianças continuam a apresentar sintomas não totalmente controlados. A presença contínua desses sintomas pode resultar de abordagens inadequadas de manejo ou da progressão natural da doença(28). Portanto, é essencial que as equipes de saúde avaliem regularmente os sintomas e ajustem as intervenções terapêuticas conforme necessário para proporcionar alívio efetivo(23).

 

Aspectos Emocionais e Psicológicos

Os aspectos emocionais das crianças com câncer em cuidados paliativos também são uma temática de extrema importância e que deve ser avaliada continuamente durante o processo de cuidados paliativos exclusivos. Alguns estudos identificaram que crianças com câncer avançado expressam medo da separação dos familiares, mas também demonstram resiliência e esperança(16,18). Essas crianças frequentemente desejam continuar atividades normais, como brincar e interagir socialmente. Um estudo sobre a percepção de pacientes oncológicos infantojuvenis destacou a importância do apoio emocional contínuo, mostrando que crianças que recebem esse suporte apresentam menores níveis de ansiedade e depressão(29).

A criança adquire um sentimento que a faz sentir-se responsável pelos seus familiares. Um estudo abordou as experiências dos irmãos de crianças com câncer, foi ressaltado que o suporte emocional adequado é fundamental para o bem-estar psicológico não apenas do paciente, mas de toda a família (30). Diante disso, é indispensável pensar que intervenções que promovem a continuidade das atividades cotidianas e o fortalecimento dos laços familiares podem contribuir para a resiliência e a qualidade de vida dessas crianças.

 

Impacto da Introdução Precoce dos Cuidados Paliativos

A percepção sobre os cuidados paliativos varia entre os envolvidos, incluindo profissionais de saúde, pacientes e familiares. O que para alguns pode parecer uma abordagem antecipada, para outros pode ser uma necessidade essencial no momento certo. A introdução precoce de cuidados paliativos melhora a adaptação ao diagnóstico e tratamento de pacientes pediátricos e suas famílias (17,19). Essa abordagem precoce está associada a uma maior probabilidade de os pacientes falecerem em casa, em vez de em hospitais. Um estudo sobre cuidados paliativos em pediatria reforça que a educação em saúde sobre cuidados paliativos precoce facilita uma maior participação da criança nas decisões sobre seu próprio tratamento(31).

Integrar cuidados paliativos desde o diagnóstico permite uma abordagem mais holística, focada não apenas no tratamento da doença, mas também no bem-estar geral da criança e da família. Existem diversas formas de abordar essa temática, seja por conversas direcionadas ao paciente, ou pela utilização de brinquedos terapêuticos, promovendo uma melhor qualidade de vida e um processo de tomada de decisão mais compartilhado(25).

 

Discussões sobre Planejamento Antecipado de Cuidados

Dentro dos grupos pediátricos, identificou-se que adolescentes relataram que discussões sobre planejamento antecipado de cuidados melhoraram a comunicação com familiares e amigos. No entanto, muitos pais e profissionais de saúde relutam em abordar o tema, apesar do desejo das crianças de serem incluídas nas decisões sobre sua saúde(21). Uma revisão sobre cuidados paliativos pediátricos destaca a importância de incluir crianças e adolescentes nas discussões sobre seu plano de cuidados, respeitando sua autonomia e potencialmente reduzindo a ansiedade relacionada ao desconhecido e melhorando sua aceitação frente à doença(32).  

 

Qualidade de Vida Percebida por Crianças com Câncer Avançado

Crianças com câncer avançado destacam a importância de manter a autonomia, estabelecer uma sensação de normalidade e receber apoio emocional(22).  Esses achados são corroborados por outros estudos que descrevem a qualidade de vida relacionada à saúde de crianças com câncer, enfatizando que o apoio social e a sensação de pertencimento são fatores que impactam positivamente a percepção da qualidade de vida(27,29-30). Estratégias que incentivam a participação ativa das crianças em decisões cotidianas e terapêuticas, bem como a manutenção de rotinas familiares e escolares, podem melhorar significativamente sua qualidade de vida.

 

Importância da Comunicação e Relacionamento com Profissionais de Saúde

É fundamental que a criança tenha sua voz considerada no processo de cuidado, favorecendo a construção de vínculos entre profissionais de saúde, pacientes e familiares, com ênfase na comunicação aberta e no suporte emocional oferecido pela equipe assistencial(14,20). A presença de equipes multidisciplinares contribui para um cuidado humanizado e abrangente(25,33). Uma comunicação eficaz entre a equipe de saúde, a criança e a família são essenciais para construir confiança e garantir que as necessidades e desejos da criança sejam plenamente compreendidos e atendidos.

 

CONSIDERAÇÕES FINAIS

Este estudo revisou a literatura científica para compreender como crianças com câncer avançado percebem sua doença e qualidade de vida ao ingressarem em cuidados paliativos exclusivos. A análise dos 12 estudos incluídos revelou que a percepção da criança sobre sua condição varia amplamente, sendo influenciada por fatores como controle da dor e outros sintomas, suporte emocional, comunicação com profissionais de saúde e manutenção da autonomia.

Nota-se que, embora os pais frequentemente superestimem o sofrimento dos filhos, as crianças, em muitos casos, apresentam uma visão mais otimista de sua qualidade de vida. Esse achado reforça a necessidade de incluir ativamente as crianças nas discussões sobre seus cuidados, respeitando sua capacidade cognitiva de compreender e expressar suas preferências.

A literatura também evidencia que a introdução precoce dos cuidados paliativos melhora a adaptação das crianças e de suas famílias, reduzindo sofrimento desnecessário e garantindo maior dignidade na trajetória da doença. No entanto, persistem desafios na implementação desses cuidados, especialmente devido à relutância de profissionais e familiares em discutir a progressão da doença e o planejamento antecipado de cuidados.

Dessa forma, este estudo reforça a importância da comunicação aberta e sensível entre equipes de saúde e pacientes pediátricos, bem como a necessidade de estratégias individualizadas para o controle de sintomas e suporte emocional. A ampliação do acesso aos cuidados paliativos pediátricos e a capacitação das equipes multidisciplinares são medidas fundamentais para garantir que essas crianças vivam com qualidade e dignidade.

Por fim, sugere-se que pesquisas futuras aprofundem a perspectiva dos próprios pacientes sobre os aspectos psicológicos e sociais da experiência paliativa, buscando metodologias que deem voz ativa às crianças, de modo a orientar políticas de cuidado cada vez mais humanizadas e centradas no paciente.

 

REFERÊNCIAS

1 Guedes AKC, Pedrosa APA, Osório MO, PedrosaTF. Cuidados paliativos em oncologia pediátrica: perspectivas de profissionais de saúde. Rev SBPH [Internet]. 2019 [citado 2023 out 28];22(2):128-48. Disponível em: http://pepsic.bvsalud.org/scielo.php?script=sci_arttext&pid=S1516- 08582019000300008&lng=pt

 

2 Momani TG, Mandrell BN, Gattuso JS, West NK, Taylor SL, Hinds PS. Children's perspective on health-related quality of life during active treatment for acute lymphoblastic leukemia: an advanced content analysis approach. Cancer Nurs. 2015 Jan-Feb;38(1):49-58. doi: https://doi.org/10.1097/NCC.0000000000000174

 

3 Azak M, Ekinci B, Barış S, Yildiz S. The influence of parental perceptions of vulnerability on quality of life in pediatric cancer patients aged 5-7 years. J Pediatr Nurs. 2025 Feb 7:S0882-5963(25)00042-9. doi: https://doi.org/10.1016/j.pedn.2025.01.031

 

4 Kenney AE, Bedoya SZ, Gerhardt CA, Young-Saleme T, Wiener L. End of life communication among caregivers of children with cancer: A qualitative approach to understanding support desired by families. Palliat Support Care. 2021 Dec;19(6):715-722.doi: https://doi.org/10.1017/S1478951521000067

 

5 Ehrlich BS, Movsisyan N, Batmunkh T, Kumirova E, Borisevich MV, Kirgizov K, et al. Barriers to the early integration of palliative care in pediatric oncology in 11 Eurasian countries. Cancer. 2020 Nov 15;126(22):4984-4993. doi: https://doi.org/10.1002/cncr.33151

 

6 Peters MDJ, Godfrey C, McInerney P, Munn Z, Tricco AC, Khalil, H. Chapter 11: Scoping Reviews (2020 version). In: Aromataris E, Munn Z. JBI Manual for Evidence Synthesis, JBI, 2020. doi: https://doi.org/10.46658/JBIMES-20-12

 

7 Shamseer L, et al. Preferred reporting items for systematic review and meta-analysis protocols (PRISMA-P) 2015: elaboration and explanation. BMJ 2015; 349:g7647 doi: https://doi.org/10.1136/bmj.g7647

 

8 Joanna Briggs Institute: Checklist for Analytical Cross-Sectional Studies [Internet]. 2017 [cited in 2023 set 22]. Avaliable from: https://jbi.global/sites/default/files/2019-05/JBI_Critical_Appraisal-Checklist_for_Analytical_Cross_Sectional_Studies2017_0.pdf

 

9 Barker TH, et al. Revising the JBI quantitative critical appraisal tools to improve their applicability: an overview of methods and the development process. JBI Evidence Synthesis. 2023;21(3). doi: https://doi.org/10.11124/jbies-22-00125 

 

10 McGuinness, LA, Higgins, JPT. Risk-of-bias VISualization (robvis): An R package and Shiny web app for visualizing risk-of-bias assessments. Res Syn Meth. 2021; 12: 55–61. doi: https://doi.org/10.1002/jrsm.1411

 

11 Montgomery KE, et al. Comparison of child self-report and parent proxy-report of symptoms: results from a longitudinal symptom assessment study of children with advanced cancer. J Spec Pediatr Nurs. 2020;25(3):e12316. doi: https://doi.org/10.1111/jspn.12316

 

12 Toro-Pérez D, et al. Evaluating quality of life in pediatric palliative care: a cross-sectional analysis of children’s and parents’ perspectives. Eur J Pediatr. 2024;183:1305-14. doi: https://doi.org/10.1007/s00431-023-05330-4

 

13 Requena ML, Avery M, Feraco AM, Uzal LG, Wolfe J, Dussel V. Normalization of symptoms in advanced child cancer: the PediQUEST-Response case study. J Pain Symptom Manage. 2022;63(4):548-62. doi: https://doi.org/10.1016/j.jpainsymman.2021.12.009

 

14 Pandarakutty S, Arulappan J. Health-related quality of life of children and adolescents with sickle cell disease: an evolutionary concept analysis. Appl Nurs Res. 2024;80:151862. doi: https://doi.org/10.1016/j.apnr.2024.151862

 

15 Montgomery KE, et al. Using patient-reported outcomes to measure symptoms in children with advanced cancer. Cancer Nurs. 2019;43(4):281-9. doi: https://doi.org/10.1097/NCC.0000000000000721 

 

16 Lin N, Lv D, Hu Y, Zhu J, Xu H, Lai D. Existential experiences and perceptions of death among children with terminal cancer: an interpretative qualitative study. Palliat Med. 2023;37(6):866-74. doi: https://doi.org/10.1177/02692163231165100.

 

17 Podda M, et al. Customised pediatric palliative care: Integrating oncological and palliative care priorities. Acta Paediatr. 2021; 110: 682–688. doi: https://doi.org/10.1111/apa.15415 

 

18 Kim JY, Park BK. The most important aspects for a good death: perspectives from parents of children with cancer. Inquiry. 2021;58:469580211028580. doi: https://doi.org/10.1177/00469580211028580

 

19 Kaye EC, et al. The impact of specialty palliative care in pediatric oncology: a systematic review. J Pain Symptom Manage. 2021;61(5):1060-79.e2. doi: https://doi.org/10.1016/j.jpainsymman.2020.12.003

 

20 Toro-Pérez D, Camprodon-Rosanas E, Navarro Vilarrubí S, Bolancé C, Guillen M, Limonero JT. Assessing well-being in pediatric palliative care: A pilot study about views of children, parents and health professionals. Palliat Support Care. 2024;22(5):1000-8. doi: https://doi.org/10.1017/S1478951523000251.

 

21 Bedoya SZ, et al. Adolescent and young adult initiated discussions of advance care planning: family member, friend and health care provider perspectives. Front Psychol. 2022;13:871042. doi: https://doi.org/10.3389/fpsyg.2022.871042

 

22 Johnson A, Ali R, An E, Wilson C, Widger K. Children’s and adolescents’ perspectives on living with advanced cancer: a meta-synthesis of qualitative research. Qual Life Res. 2024;33:2095-106. doi: https://doi.org/10.1007/s11136-024-03688-y

 

23 Souza LP, Santos DP, Carvalho GP, Barbosa JS, Vinholes DB, Viana ACW. Análise da qualidade de vida em crianças e adolescentes sob tratamento oncológico. Rev. Soc. Bras. Enferm. Ped. 2023;23:eSOBEP20230032. doi: http://dx.doi.org/10.31508/1676-379320230032

 

24 Batalha LMC, Fernandes AM, Campos C de. Qualidade de vida em crianças com câncer: concordância entre crianças e pais. Esc Anna Nery [Internet]. 2015Apr;19(2):292–6. doi: https://doi.org/10.5935/1414-8145.20150039

 

25 Silva GB da, Souza LM de, Canabarro ST. Construção e validação de História em Quadrinhos para crianças com leucemia linfoide aguda. Esc Anna Nery [Internet]. 2024;28:e20220419. doi: https://doi.org/10.1590/2177-9465-EAN-2022-0419pt

 

26 Murphy KM, Siembida E, Lau N, Berkman A, Roth M, Salsman JM. A systematic review of health-related quality of life outcomes in psychosocial intervention trials for adolescent and young adult cancer survivors. Crit Rev Oncol Hematol. 2023 Aug;188:104045. doi: https://doi.org/10.1016/j.critrevonc.2023.104045

 

27 Nunes MDR, Jacob E, Lopes-Júnior LC, Leite ACAB, Lima RAG de, Nascimento LC. Qualidade de vida da população infantojuvenil oncológica com e sem fadiga. Acta paul enferm [Internet]. 2022;35:eAPE0288345. doi: https://doi.org/10.37689/acta-ape/2022AO0288345

 

28 Diaz Osorio CE, Carmona Mejía B, Bárcenas Bobadilla L, Ponce Gómez G. Necesidades de cuidados paliativos en niños con diagnóstico oncológico en un hospital de tercer nivel de atención: Palliative care needs in children with oncological diagnosis in a tertiary care hospital. LATAM [Internet]. 2024 Aug 9 [cited 2025 Feb 24];5(4):3174–83. Available from: https://latam.redilat.org/index.php/lt/article/view/2489

 

29 Thornton CP, Ruble K, Kozachik S. Psychosocial interventions for adolescents and young adults with cancer: an integrative review. J Pediatr Oncol Nurs. 2020 Nov-Dec;37(6):408-22. doi: https://doi.org/10.1177/1043454220919713

 

30 Giesta DM, Azambuja TO, Moreira MC. Convivendo com uma nova realidade: revisão sistemática da literatura sobre as experiências dos irmãos de crianças com câncer. Psicol Hosp (São Paulo) [Internet]. 2018 [cited 2025 Feb 24];16(1):67-89. Available from: https://www.academia.edu/113924442/Convivendo_com_uma_nova_realidade_revis%C3%A3o_sistem%C3%A1tica_da_literatura_sobre_as_experi%C3%AAncias_dos_irm%C3%A3os_de_crian%C3%A7as_com_c%C3%A2ncer?uc-sb-sw=109505750

 

31 Lima SF, Lamy ZC, Motta VBR da, Roma TM, Gomes CMR de P, Souza T de P. Dinâmica da oferta de cuidados paliativos pediátricos: estudo de casos múltiplos. Cad Saúde Pública [Internet]. 2020;36(9):e00164319. doi: https://doi.org/10.1590/0102-311X00164319

 

32 Costa TF da, Ceolim MF. A enfermagem nos cuidados paliativos à criança e adolescente com câncer: revisão integrativa da literatura. Rev Gaúcha Enferm [Internet]. 2010Dec;31(4):776–84. doi: https://doi.org/10.1590/S1983-14472010000400023

 

33 Paiani RL, Pereira TB, Poggetti IR, Wissmann LH, Alves AA, Bittencourt ACO, et al. Aspectos psicológicos de pais de crianças e adolescentes em cuidados paliativos: uma revisão integrativa. Rev SBPH [Internet]. 2022 Dec [cited 2025 Mar 5];25(2):55-67. Available from: https://revistasbph.emnuvens.com.br/revista/article/view/485

 

Fomento e Agradecimento:

A pesquisa não recebeu financiamento

 

Critérios de autoria (contribuições dos autores)

Todos os autores acima contribuíram de forma significativa para, 1. contribui substancialmente na concepção e/ou no planejamento do estudo; 2. na obtenção, na análise e/ou interpretação dos dados; 3. assim como na redação e/ou revisão crítica e aprovação final da versão publicada.

Declaração de disponibilidade de dados

Não foram gerados bancos de dados neste estudo. As informações apresentadas estão descritas no corpo do artigo.

Declaração de conflito de interesses

Nada a declarar

 

Editor Científico: Ítalo Arão Pereira Ribeiro. Orcid: https://orcid.org/0000-0003-0778-1447

 

Rev Enferm Atual In Derme 2026;100(2): e026044